Índice
LIBRO DE MECÁNICA DE FLUIDOS E HIDRÁULICA
JAIME DIAZ ORTIZ
Descripción
Para los cursos de mecánica de fluidos que se encuentran en los departamentos de ingeniería civil y ambiental, general y tecnología de ingeniería y gestión industrial.
La mecánica de fluidos proporciona una introducción exhaustiva y bien ilustrada a la teoría y aplicación de la mecánica de fluidos. El texto presenta un compromiso con el desarrollo de habilidades de resolución de problemas estudiantiles y cuenta con muchas de las mismas ayudas pedagógicas exclusivas de los textos.
Para cursos de licenciatura en mecánica de fluidos o hidráulica en programas de ingeniería y tecnología de ingeniería civil, química y mecánica. El enfoque de aplicaciones más popular orientado a la mecánica de la tecnología de ingeniería de fluidos, este texto cubre todos los principios básicos de la mecánica de fluidos-tanto estática y dinámica-en una clara y práctica presentación que vincula la teoría directamente a los dispositivos reales y sistemas utilizados en industrias de proceso químico, fabricación, ingeniería de planta, manejo de aguas residuales y diseño de producto. Legible y claramente escrita, la nueva edición trae un aspecto mucho más atractivo al libro e incluye muchas actualizaciones y características adicionales.
Viscosidad
En este artículo usted aprenderá sobre qué es viscosidad, fórmula de la viscosidad y conversión de la unidad de la viscosidad. Es una característica importante de un líquido que resista el flujo del líquido.
¿Qué es la viscosidad?
La viscosidad es una propiedad de un fluido que ofrece resistencia al flujo de una capa de un fluido sobre otra capa adyacente de líquido. En lenguaje sencillo se define como la propiedad que ofrece resistencia al flujo.
Fórmula de la viscosidad
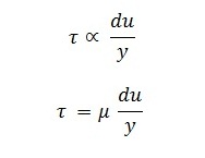
Se consideran dos capas de líquido que están a una distancia DY aparte. Deje que la velocidad de la capa inferior del líquido es usted y la capa adyacente superior es u + du como se muestra en la figura. Debido a la viscosidad y a la velocidad relativa, la tensión de esquileo se induce entre las dos capas del líquido.
La capa superior induce la fuerza de corte en la parte inferior adyacente y la capa inferior induce la fuerza de corte en la capa superior adyacente. La tensión de cizalladura causada entre las dos capas de fluido es proporcional a la tasa de cambio de velocidad con respecto a y. La fuerza de cizalladura es denotada por el símbolo τ (tau).
Matemáticamente

Donde
τ = tensión del esquileo
du/y = tasa de esfuerzo de cizallamiento o tasa de deformación de chamuscado o gradiente de velocidad.
Aquí el μ es la constante de la proporcionalidad y se llama como coeficiente de viscosidad dinámica o solamente de viscosidad.
De la fórmula antedicha de la tensión de esquileo, la fórmula de la viscosidad es puede ser escrita como




